佛山市二医院眼科位列全省第三
近日,医信天下2021中国医院影响力排行榜发布。佛山市第二人民医院眼科进入眼科榜,位列全国第51、华南地区第5、全省第3。同时,眼科中心主任晏世刚获得医信天下中国影响力医生称号。
佛山市第二人民医院眼科发轫于20世纪50年代,由中医逐渐扩展到中医、西医齐头并进的发展格局。70年代后,西医眼科日益强大,并率先在市内、省内开展多项高难度眼科手术。2006年10月,市二眼科中心被原佛山市卫生局列为市级医学重点专科。2010年5月,“佛山市防盲办公室”落户佛山市第二人民医院。2012年5月,眼科中心入选国家重点临床专科候选单位。2013年,市二眼科被评为广东省临床重点专科。
2016年以来,医院党委书记、院长李逸群带领的班子准确把握学科发展规律,以打造佛山市眼科中心为目标,推动市二眼科行政划分为眼一科、眼二科、眼三科及视光学中心、眼科门诊、眼科手术室、眼科检查室,促进学科专业化、精细化发展,同时,鼓励新技术、特色技术的开展,眼科再次迎来高速发展期。
如今的市二眼科共有120张床位,医护人员140多人。其中,主任医师14人、博士10人。下设白内障专科、眼底病专科、青光眼专科、角膜及眼表疾病专科、泪道疾病专科、眼外伤专科、眼肌专科、视光学专科,可常规开展绝大部分眼科手术及近视治疗,是佛山地区唯一能系统开展角膜移植手术的眼科,建立了规范化的干眼治疗特色专科门诊及治疗中心。是佛山地区唯一设有泪道疾病专科,并开设眼肌病眼部整形专科。市二眼科所开展的多例复杂视网膜复位手术已达到国内先进水平。
近年,市二眼科每年的门诊量已超过27万人次,年手术量到11000台次,学科建设水平在全省公立综合医院中排名第一。佛山市低视力康复指导站、佛山市眼科研究所、广东红十字会眼角膜捐献中心唯一一个佛山工作站均设立于此。
根据《转发人力资源社会保障部 财政部关于印发《企业职工基本养老保险遗属待遇暂行办法》的通知》(粤人社〔2021〕35号),从九月份起,广东省企业职工基本养老保险遗属待遇标准有所调整。
具体有哪些调整
一起来看看吧
丧葬补助金标准
按照参保人员死亡时本省上年度城镇居民月人均可支配收入的2倍计算。
抚恤金标准
(一)在职人员(含灵活就业等以个人身份参保人员),以死亡时本省上一年度城镇居民月人均可支配收入为基数,根据本人的缴费年限(包括实际缴费年限和视同缴费年限)确定发放月数。
(二)退休人员(含退职人员),以死亡时本省上一年度城镇居民月人均可支配收入为基数,根据本人在职时的缴费年限确定最高发放月数(计算方法与在职人员相同),每领取1年基本养老金减少1个月,发放月数最低为9个月。
注意
本条所述缴费年限和领取基本养老金时间计算到月。
* 我省上年度城镇居民月人均可支配收入为4188元 。
* 参保人员因病或非因工死亡,累计缴费年限不足5年的,其遗属待遇标准不得超过其个人缴费之和(灵活就业等以个人身份参保人员以记入个人账户部分计算)。
为了让大家更好理解这次的调整
社保君准备了几个例子
看完您就一清二楚啦!
此外
还需注意两个点
01
在职参保人员死亡的遗属待遇领取地为其最后养老保险关系所在地(含临时基本养老保险缴费账户所在地),由最后养老保险关系所在地社会保险经办机构负责核定参保人员缴费年限等相关信息,并支付遗属待遇。退休人员死亡的遗属待遇领取地为其企业职工基本养老保险待遇领取地。
举个例子
张女士参加工作十年有余,在东莞、广州、深圳参加过企业职工养老保险,最后在佛山参加工作并参保,停保后因病不幸身亡。因其最后参保地为佛山,则其遗属待遇领取地为佛山。
02
若同时符合企业职工基本养老保险、城乡居民基本养老保险遗属待遇条件的,由其遗属选择其中一种领取。已办理企业职工基本养老保险和城乡居民基本养老保险制度衔接手续并领取城乡居民基本养老保险待遇后死亡的,其遗属不再享受企业职工基本养老保险遗属待遇。
举个例子
1.某企业职工黄女士同时在职工社保和城乡居保都存在参保记录,于2021年10月死亡,其符合两者遗属待遇领取条件,遗属可以选择企业职工基本养老保险、城乡居民基本养老保险遗属待遇其中一种领取。
2.何伯,办理了企业职工基本养老保险和城乡居民基本养老保险制度衔接手续后,每月领取城乡居民基本养老保险待遇,于2021年10月死亡,其遗属只能享受城乡居民保险遗属待遇。
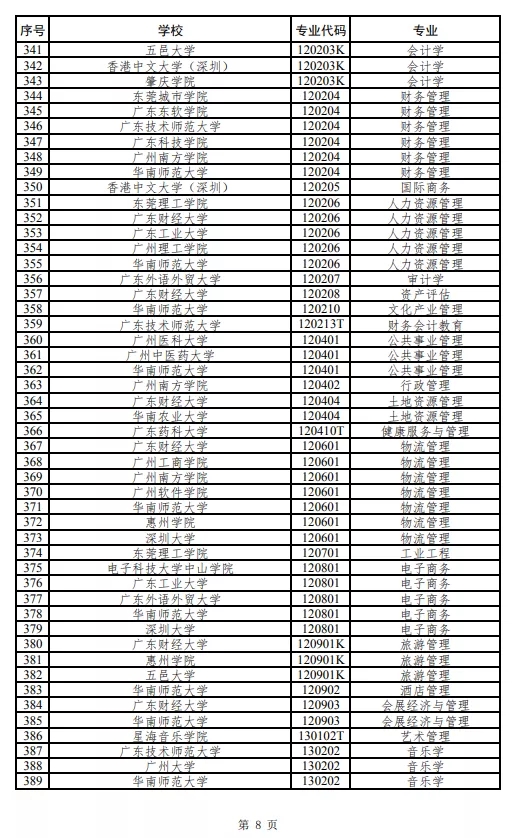
近日,广东省教育厅公示了
《广东省2021年推荐参评
国家级一流本科专业建设点名单》
全省高校有417个“金牌专业”入选
今年广东推荐参评的名单
有哪些高校的“金牌专业”入选呢
一起来看看↓↓↓
早在2019年4月,教育部印发《关于实施一流本科专业建设“双万计划”的通知》,决定2019—2021年建设1万个左右国家级一流本科专业点,并将中央部门所属高校、地方高校名额分列,分“赛道”进行遴选建设。
在首轮评选中,广东高校234个专业入选首批国家级一流本科专业建设点。其中在地方赛道中,广东省属高校158个专业入选,占比6.7%,名列全国前茅。中山大学、暨南大学等部属高校成绩斐然,在中央赛道中共有76个专业入选国家一流本科专业建设点。
据悉,此次公示期为2021年11月10日至14日。
公示期内,如持有异议,可通过来信、来电、来访等形式向省教育厅反映。以个人名义反映的应签署本人真实姓名和提供联系方式,以单位名义反映的应加盖本单位印章,否则不予受理。反映公示对象的情况和问题,应坚持实事求是的原则,不得借机诽谤和诬告。
联系电话:(020)37628925,37627855
电子邮箱:yangyw@gdedu.gov.cn
联系地址:广州市东风东路723号广东省教育厅高等教育处
邮政编码:510080
微信
新浪微博
QQ空间
QQ好友
豆瓣
Facebook
Twitter
