十二连冠🥇!顺德,全国第一强区!

近日,新华社、学习强国等权威媒体发布
《中国市辖区高质量发展报告2023》
顺德区再次位居
“高质量发展百强区”榜首
据悉,自2012年起
顺德从全国760多个地级市市辖区中脱颖而出
至今已十二连冠

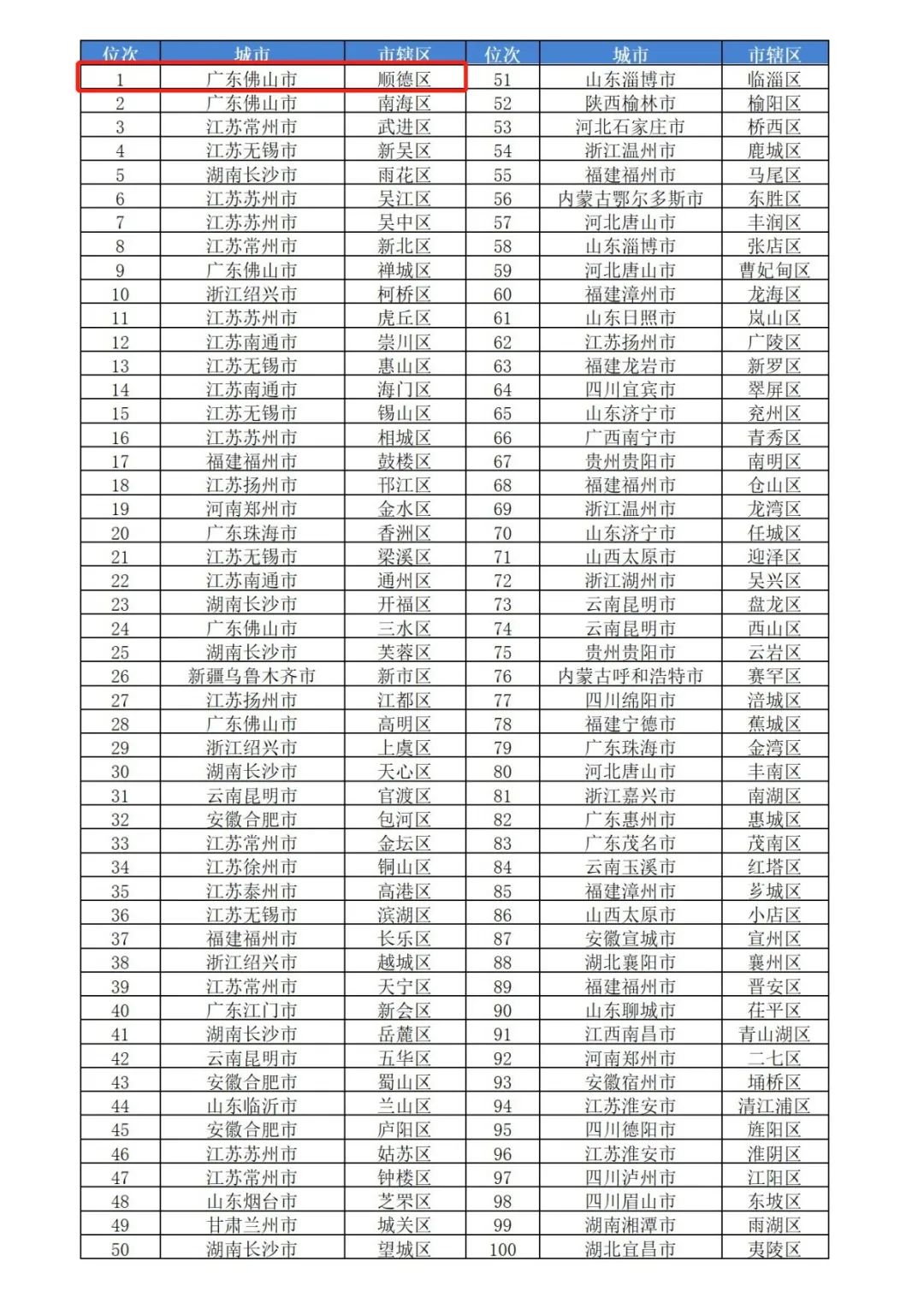
2023市辖区高质量发展百强 (地级城市市辖区)
5月12日,为客观评价城市高质量发展水平,引导城市实现更高质量发展,壹城经济咨询中心以“中国式现代化与市辖区高质量发展”为主题,在2023中国财富峰会发布《中国市辖区高质量发展报告2023》(以下简称《报告》)。

《报告》涵括“市辖区高质量发展百强2023(地级城市市辖区)”榜单,从综合指标、创新发展、协调发展、绿色发展、开放发展、共享发展和安全发展7个目标层面构建评价体系,在创新发展层面主要从创新投入、创新创业活动和新经济发展水平三个方面进行评价,衡量指标包括全社会研发经费占GDP的比重、每万人口高价值发明专利拥有量等等。

市辖区高质量发展评价体系

金凤凰广场
近年,面对时有起伏的新冠肺炎疫情和复杂多变的国内国际形势,全区以习近平新时代中国特色社会主义思想为指导,全面学习贯彻党的二十大精神,坚持稳中求进工作总基调,统筹疫情防控和经济社会发展,主要经济指标稳中有进。

美的库卡机器人产品
从增速来看,2020-2022年抗疫以来,近三年顺德GDP平均增速4.3%,排名全市第一。从总量来看,2021年顺德区工业总产值首破万亿元大关,成为全国首个工业超万亿的市辖区,2022年工业总产值再上台阶,突破1.2万亿元。

佛山地铁3号线
与此同时,顺德全面推动新旧动能转换,牢牢把握制造业当家重大机遇,全力打造最友好的制造业强区。科学推进“以水美城、以水兴城”战略,高起点提升城市品质能级,切实保护生态环境。打造人民满意的公共服务,办好每一件民生实事,努力实现治理能力和治理体系现代化。

容桂天九涌“美岸”提升工程
未来 顺德将继续在产业发展 城市建设、生态环境、民生福祉 社会治理等方面协同发力 实现高质量发展 共同谱写 高质量发展先行示范区建设新篇章!


往期推荐
关注顺德发布视频号,掌握顺德最新资讯↓ 扫码关注顺德发布与潮顺德抖音号 

保存图片到相册,打开抖音搜索页扫一扫
来源:顺德区委宣传部
部分图源:佛山地铁、美的库卡机器人、佛山新闻网
审校:岑炽晖、罗倩娴、梁毅蕴
编辑:佛山新闻网 潘绮婷
近日,新华社、学习强国等权威媒体发布
《中国市辖区高质量发展报告2023》
顺德区再次位居
“高质量发展百强区”榜首
据悉,自2012年起
顺德从全国760多个地级市市辖区中脱颖而出
至今已十二连冠

2023市辖区高质量发展百强 (地级城市市辖区)
5月12日,为客观评价城市高质量发展水平,引导城市实现更高质量发展,壹城经济咨询中心以“中国式现代化与市辖区高质量发展”为主题,在2023中国财富峰会发布《中国市辖区高质量发展报告2023》(以下简称《报告》)。

《报告》涵括“市辖区高质量发展百强2023(地级城市市辖区)”榜单,从综合指标、创新发展、协调发展、绿色发展、开放发展、共享发展和安全发展7个目标层面构建评价体系,在创新发展层面主要从创新投入、创新创业活动和新经济发展水平三个方面进行评价,衡量指标包括全社会研发经费占GDP的比重、每万人口高价值发明专利拥有量等等。

市辖区高质量发展评价体系

金凤凰广场

美的库卡机器人产品

佛山地铁3号线

容桂天九涌“美岸”提升工程




保存图片到相册,打开抖音搜索页扫一扫
来源:顺德区委宣传部
部分图源:佛山地铁、美的库卡机器人、佛山新闻网
审校:岑炽晖、罗倩娴、梁毅蕴
编辑:佛山新闻网 潘绮婷




家长们请注意
佛山民办义务教育学校招生
资格审核结果已公布
显示“初审不通过”的
请务必在5月15日(周一)17:00前
修改报名信息、完善证件材料
逾期未进行修改的
视为认同审核结果
不能填报志愿
详细指引如下

一、时间及方式
5月12日9:00至5月15日17:00,家长应登录市民办招生平台(https://mbzs.edu.foshan.gov.cn)查询资格审核结果。
手机端入口
关注“顺德发布”微信公众号,点击菜单栏【服务顺德】-【顺德民办招生报名】。


●资格审核通过的学生
现阶段无需在系统进行任何操作。

●资格审核不通过的学生
应当在5月12日9:00至5月15日17:00登录市民办招生平台,点击“修改资料”,根据自身所符合的条件,对报名所属区(镇街)和报名信息进行修改,并完善证件材料。5月15日17:00后市民办招生平台将关闭修改功能,请务必按时修改相应信息及完善证件材料。

注意:资格审核不通过的学生如不进行修改,或修改后第二次资格审核仍不通过的,将无法进入志愿填报环节。
二、不同资格类型的学生查询资格审核结果时的注意事项
01 政策直招对象、人才直招对象、协议直招对象:
资格审核通过的,应当同时查看录取学校。被录取的学生不需进入志愿填报环节,不再参加其他民办学校录取。

02 符合直升条件的小学毕业生在查询资格审核通过情况时,应当核对是否已标记具有本校直升报名资格,信息有误的应在5月15日17:00前联系学校进行更正。未标记符合该校直升资格的学生,后续将不能填报该校校内直升志愿。

03 资格类型为“不符合以上条件,但具有在本区工作或居住的证明”的,根据招生政策,资格审核通过也不能进入志愿填报环节,只能参加补录。

04 申请“双(多)胞胎同校入读”的,如双(多)胞胎审核通过,双(多)胞胎将拥有同一个报名号绑定参与录取;如双(多)胞胎审核不通过但普通报名资格审核通过,系统已自动拆分成两(多)个学生并分别取得报名号,之后作为两(多)个独立个体参与录取,家长可返回主页查看。

三、热点问答
问
1.所属区填错了,需修改所属区,要从原所属区还是新所属区入口登录?
修改报名信息时,需通过原所属区入口登录,修改报名信息后,可以从原所属区入口或修改后的所属区入口登录。
问
2.为什么有的学生有录取结果,我没有?
根据招生政策,政策直招对象、人才直招对象、协议直招对象,在报名同时填报志愿,经资格审核通过后录取,因此显示了录取结果。
普通招生对象(以户籍、学籍、居住证、华侨及外国籍人员等身份报名,下同)还未到志愿填报和录取环节,因此没有录取结果。
问
3.普通招生对象什么时候填报志愿?怎样填报志愿?
普通招生对象需在5月19日9:00至5月22日17:00登录市民办招生平台填报志愿。5月24日进行录取。
在志愿填报前,区教育局将公布各学校普通招生计划。请家长留意。
问
4.为什么我符合直升条件,但未标记具有直升资格?
如学生符合校内直升条件,但未标记具有直升资格,请家长确认学生学籍系统所使用的证件号码与市民办招生平台使用的证件号码是否一致,并在5月15日17:00前联系学校进行更正。
问
5.对资格审核结果有异议,怎么办?
家长可以联系属地教育行政部门咨询,联系方式如下。

扫码查看
再次提醒:请家长务必于5月12日9:00至5月15日17:00登录市民办招生平台查询资格审核结果。资格审核不通过的,请务必在5月15日17:00前在市民办招生平台中修改报名信息、完善证件材料,逾期未进行修改的,视为认同审核结果,不能填报志愿。
扫码进入
佛山市义务教育学校
招生资讯平台
查看更多招生信息




往期推荐
关注顺德发布视频号,掌握顺德最新资讯↓ 扫码关注顺德发布与潮顺德抖音号 

保存图片到相册,打开抖音搜索页扫一扫
来源:佛山教育
审校:岑炽晖、罗倩娴、梁毅蕴
编辑:佛山新闻网 杜静欣
家长们请注意
佛山民办义务教育学校招生
资格审核结果已公布
显示“初审不通过”的
请务必在5月15日(周一)17:00前
修改报名信息、完善证件材料
逾期未进行修改的
视为认同审核结果
不能填报志愿
详细指引如下

5月12日9:00至5月15日17:00,家长应登录市民办招生平台(https://mbzs.edu.foshan.gov.cn)查询资格审核结果。


●资格审核通过的学生
现阶段无需在系统进行任何操作。

●资格审核不通过的学生
应当在5月12日9:00至5月15日17:00登录市民办招生平台,点击“修改资料”,根据自身所符合的条件,对报名所属区(镇街)和报名信息进行修改,并完善证件材料。5月15日17:00后市民办招生平台将关闭修改功能,请务必按时修改相应信息及完善证件材料。

政策直招对象、人才直招对象、协议直招对象:
资格审核通过的,应当同时查看录取学校。被录取的学生不需进入志愿填报环节,不再参加其他民办学校录取。

符合直升条件的小学毕业生在查询资格审核通过情况时,应当核对是否已标记具有本校直升报名资格,信息有误的应在5月15日17:00前联系学校进行更正。未标记符合该校直升资格的学生,后续将不能填报该校校内直升志愿。

资格类型为“不符合以上条件,但具有在本区工作或居住的证明”的,根据招生政策,资格审核通过也不能进入志愿填报环节,只能参加补录。


问
1.所属区填错了,需修改所属区,要从原所属区还是新所属区入口登录?
问
2.为什么有的学生有录取结果,我没有?
问
3.普通招生对象什么时候填报志愿?怎样填报志愿?
问
4.为什么我符合直升条件,但未标记具有直升资格?
问
5.对资格审核结果有异议,怎么办?

扫码查看
扫码进入
佛山市义务教育学校
招生资讯平台
查看更多招生信息






保存图片到相册,打开抖音搜索页扫一扫
来源:佛山教育
审校:岑炽晖、罗倩娴、梁毅蕴
编辑:佛山新闻网 杜静欣



三水所有学校、老师、家长
注意了!
又有骗子混进
班级家长企业微信群
冒充“老师”和“家长”唱双簧
被真老师当场揭穿后
气急败坏的骗子
竟公然发语音辱骂老师
骗子怎么进群?
我们要怎么鉴别?
请耐心往下看
↓↓↓
5月6日22时许,佛山市南海区桂城街道某小学一家长企业微信群里,“数学老师”突然发布消息,要求家长以发红包的形式缴纳200元资料费。该缴费信息刚发出不久,立即有一名“家长”按要求发了红包。
几乎是同一时间,真正的老师看到聊天记录后赶紧发信息阻止,提醒家长们“不要发红包”。
家长们这才得知原先要求缴费的“数学老师”尽管昵称和头像都和真正数学老师的一致,但身份确系假冒的,而且就连发红包缴费的“家长”也是骗子的托,目的是营造缴费场景,诱骗其他家长进行缴费。
骗子看着自己的一招“瞒天过海”被当场拆穿,气急败坏地在群里公然发语音辱骂老师,后被班主任清除出群聊,及时避免家长被骗。
那么
假冒的“数学老师”和“家长”
是怎么进群的呢?
原来,该班级
企业微信群存在管理漏洞
没有设置群主审核同意后方可入群
且群中老师个人微信未规范
信息不完善
造成身份无法确认
使骗子可以轻松
通过搜索扫码混进微信群
并盗用昵称和头像施骗
😱
教你一招制敌
01、如何辨别真假老师
家长们在班级群内发现有人发布收缴学杂费、资料费等信息,先不要急于在群里缴费,可以先在群内查看是否有相同头像图片的两个班主任账号,如有两个账号,则需要通过电话、视频等方式与真老师核实。
企业微信班级群,班主任在群内有独特的橙色小尾巴标识,且点开班主任名片即可看到实名认证信息,即便骗子将头像和群昵称都更换为真班主任信息,也可以轻松一眼识别!所以,老师在企业微信群里要明确“工作号”,认证为“企业微信主体身份”,而非个人微信号,否则家长无法辨认正确身份。
02、加强群聊管理
群主要加强群聊管理,开启入群验证功能,并实行实名制,对每一位入群的成员身份进行审核,避免陌生人随意加入班级群。
03、及时清除未实名可疑人员
老师应不定时对本班级的QQ群、微信群成员身份进行核查,对身份存疑的账号要尽快清除出群。
04、班级群安全设置
老师应设置敏感信息警告,营造良好群环境。此外,不要随意在网上发布班级群的相关信息,不要给陌生人分享二维码进群。
警方提醒
家长如发现异常或已经上当
请及时留存相关证据
报警求助并通知校方
骗子可能会抓住机会
继续作案
请各位家长、老师提高警惕
转发扩散提醒!
微信
新浪微博
QQ空间
QQ好友
豆瓣
Facebook
Twitter
