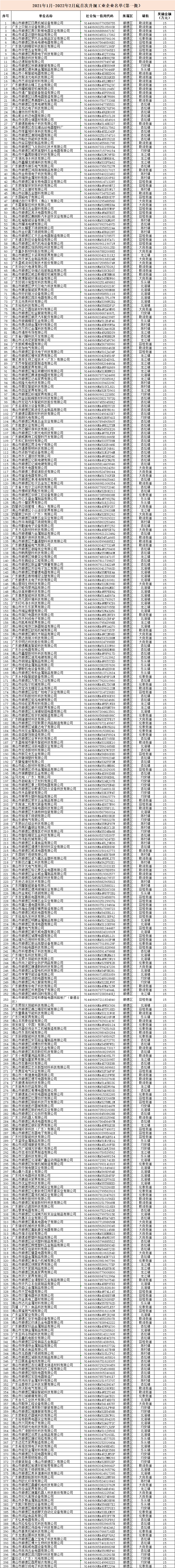
顺德区促进小微企业上规模扶持资金(第一批)申领工作开始!
根据《佛山市顺德区经济促进局关于印发<佛山市顺德区促进小微工业企业上规模扶持办法>的通知》(顺经发〔2021〕12号)文件精神和《佛山市人民政府办公室关于加快推进政府补助(扶持)资金直达企业个人改革有关事项的通知》要求,现通过佛山扶持通平台组织开展2022年顺德区促进小微企业上规模扶持资金(第一批)申领工作。有关事项通知如下:
申领对象及标准
(一)2021年首次从小微企业升规模以上的部分工业企业;
(二)2020年首次升规入库且2021年持续在库的部分工业企业。
根据预算安排各给予15万元资金补助(名单详见附件1)。部分需要进一步研究核实的企业将安排在第二批发放。
附件1:2022年小微工业企业上规模奖励资金(第一批)名单(点击下载)
申领时间
2022年8月10日-8月17日。
申领流程
(一)企业于2022年8月17日17点30分前,登录佛山扶持通平台(网站地址https://fsfczj.foshan.gov.cn/,微信小程序搜索“佛山扶持通”)进入“2022年顺德区促进小微企业上规模扶持资金(第一批)”入口进行申领。
(二)企业根据系统提示在线核对企业名称、奖励金额、银行账户(须为企业对公账户)等信息,确认无误后即可提交申领。经系统自动审批通过的,奖励资金将及时发放。
(三)企业如对申领信息有异议的,需在2022年8月17日17点30分前,按系统提示进行在线申诉,审批通过后及时发放奖励资金。
其他事项
◆ 企业在申领过程中如遇到技术问题,可与佛山扶持通运维服务中心联系。
技术咨询联系电话:8328221
◆ 如对奖励政策有疑问,可与区经济促进局或各镇(街道)经济发展办公室联系。
区经济促进局:22910210、22910209、22336317
大良:29938245、29938234
容桂:28386132、28381607
伦教:27720059
勒流:25533389
陈村:23833331
北滘:26332102、26335941
乐从:28331168
龙江:23888729
杏坛:27388239、27388250
均安:25388273、25388272
据佛山市气象台预报,今明两天佛山天气炎热,有雷阵雨;受海上东风波影响,本周后期降雨频繁,高温缓解,其中8月18日至20日有中雷雨、局部大雨降水过程。
具体预报:
今日(8月16日):多云,午后有雷阵雨,气温27℃~35℃;
8月17日:多云间阴天,有雷阵雨,气温27℃~34℃;
8月18-19日:阴天,有中雷雨,局部大雨,气温26℃~32℃;
8月20日(周六):阴天,有中雷雨,气温26℃~32℃;
8月21日(周日):多云间阴天,有雷阵雨,局部大雨,气温26℃~33℃。

项目概况
文印输出服务及设备运维驻点服务整体外包项目招标项目的潜在投标人应在广东省政府采购网https://gdgpo.czt.gd.gov.cn/获取招标文件,并于 2022年08月30日 09时00分 (北京时间)前递交投标文件。
一、项目基本情况
项目编号:M4400000707015066001
项目名称:文印输出服务及设备运维驻点服务整体外包项目
采购方式:公开招标
预算金额:3,600,000.00元
采购需求:
合同包1(文印输出服务及设备运维驻点服务整体外包项目):
合同包预算金额:3,600,000.00元
本合同包不接受联合体投标
合同履行期限:合同生效之日起至质保期(保修期)结束之日止
二、申请人的资格要求:
1.投标供应商应具备《政府采购法》第二十二条规定的条件,提供下列材料:
1)具有独立承担民事责任的能力:在中华人民共和国境内注册的法人或其他组织或自然人, 投标(响应)时提交有效的营业执照(或事业法人登记证或身份证等相关证明) 副本复印件。分支机构投标的,须提供总公司和分公司营业执照副本复印件,总公司出具给分支机构的授权书。
2)有依法缴纳税收和社会保障资金的良好记录:提供投标截止日前6个月内任意1个月依法缴纳税收和社会保障资金的相关材料。 如依法免税或不需要缴纳社会保障资金的, 提供相应证明材料。
3)具有良好的商业信誉和健全的财务会计制度:供应商必须具有良好的商业信誉和健全的财务会计制度(提供2020或2021年度财务状况报告或基本开户行出具的资信证明) 。
4)履行合同所必需的设备和专业技术能力:按投标(响应)文件格式填报设备及专业技术能力情况。
5)参加采购活动前3年内,在经营活动中没有重大违法记录:参照投标(报价)函相关承诺格式内容。 重大违法记录,是指供应商因违法经营受到刑事处罚或者责令停产停业、吊销许可证或者执照、较大数额罚款等行政处罚。(根据财库〔2022〕3号文,“较大数额罚款”认定为200万元以上的罚款,法律、行政法规以及国务院有关部门明确规定相关领域“较大数额罚款”标准高于200万元的,从其规定)
2.落实政府采购政策需满足的资格要求:
合同包1(文印输出服务及设备运维驻点服务整体外包项目)落实政府采购政策需满足的资格要求如下:
无(本项目不属于专门面向中小企业采购的项目)
3.本项目的特定资格要求:
合同包1(文印输出服务及设备运维驻点服务整体外包项目)特定资格要求如下:
(1)供应商未被列入“信用中国”网站(www.creditchina.gov.cn)“记录失信被执行人或重大税收违法案件当事人名单或政府采购严重违法失信行为”记录名单;不处于中国政府采购网(www.ccgp.gov.cn)“政府采购严重违法失信行为信息记录”中的禁止参加政府采购活动期间。(以资格审查人员于投标(响应)截止时间当天在“信用中国”网站(www.creditchina.gov.cn)及中国政府采购网(http://www.ccgp.gov.cn/)查询结果为准,如相关失信记录已失效,供应商需提供相关证明资料)。
(2)单位负责人为同一人或者存在直接控股、 管理关系的不同供应商,不得同时参加本采购项目(或采购包) 投标(响应)。 为本项目提供整体设计、 规范编制或者项目管理、 监理、 检测等服务的供应商, 不得再参与本项目投标(响应)。 投标(报价) 函相关承诺要求内容。
三、获取招标文件
时间: 2022年08月08日 至 2022年08月15日 ,每天上午 00:00:00 至 12:00:00 ,下午 12:00:00 至 23:59:59 (北京时间,法定节假日除外)
地点:广东省政府采购网https://gdgpo.czt.gd.gov.cn/
方式:在线获取
售价: 免费获取
四、提交投标文件截止时间、开标时间和地点
2022年08月30日 09时00分00秒 (北京时间)
递交文件地点:电子投标文件上传到云平台项目采购系统;开标地点:佛山市公共资源交易中心南海分中心不见面开标4室(佛山市南海区桂城街道夏南路58号方舟一号建筑产业中心大楼2层、3层及1座2栋4层。)
开标地点:佛山市南海区桂城街道夏南路58号方舟一号建筑产业中心大楼2层、3层及1座2栋4层。
五、公告期限
自本公告发布之日起5个工作日。
六、其他补充事宜
1.本项目采用电子系统进行招投标,请在投标前详细阅读供应商操作手册,手册获取网址:https://gdgpo.czt.gd.gov.cn/help/transaction/download.html。投标供应商在使用过程中遇到涉及系统使用的问题,可通过400-1832-999进行咨询或通过广东政府采购智慧云平台运维服务说明中提供的其他服务方式获取帮助。
2.供应商参加本项目投标,需要提前办理CA和电子签章,办理方式和注意事项详见供应商操作手册与CA办理指南,指南获取地址:https://gdgpo.czt.gd.gov.cn/help/problem/。
3.如需缴纳保证金,供应商可通过'广东政府采购智慧云平台金融服务中心'(http://gdgpo.czt.gd.gov.cn/zcdservice/zcd/guangdong/),申请办理投标(响应)担保函、保险(保证)保函。
4.本项目采用远程电子开标。投标人的法定代表人或其授权代表应当按照本招标公告载明的时间和模式等要求参加开标解密。在投标截止时间前30分钟,应当登录云平台开标大厅进行签到,并且填写授权代表的姓名与手机号码。若因签到时填写的授权代表信息有误而导致的不良后果,由供应商自行承担。各投标人在参加开标以前须自行对使用电脑的网络环境、驱动安装、客户端安装以及数字证书的有效性等进行检测,确保可以正常使用。
七、对本次招标提出询问,请按以下方式联系。
1.采购人信息
名 称:佛山市南海区人民医院
地 址:佛山市南海区狮山镇桂丹路120号南海区人民医院
联系方式:0757-66822086
2.采购代理机构信息
名 称:广东省机电设备招标有限公司佛山分公司
地 址:佛山市禅城区汾江中路148号华美大厦10楼
联系方式:0757-83126103
3.项目联系方式
项目联系人:李锐昌
电 话:0757-83126103
微信
新浪微博
QQ空间
QQ好友
豆瓣
Facebook
Twitter

